600块两个小时服务,全国空降200元快餐联系方式,200元1小时做完付款快餐,3小时不限次数的快餐

Previous Next

矿用罐道钢丝绳张力研究与应用(2)

时间:2024-04-11 08:07:48  点击数:


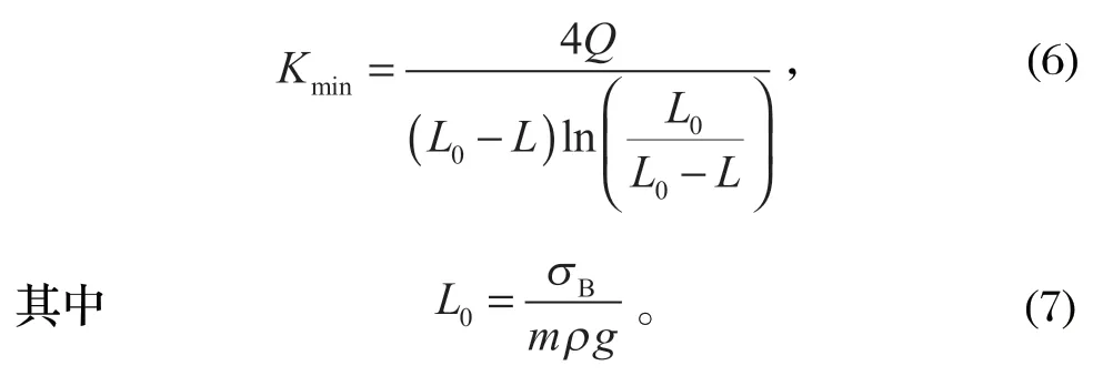
1.2 计算罐道绳刚性系数
      根据文献 [10-11],罐道绳张紧状态和钢丝绳自重影响刚性系数,绳长范围内的各点刚性系数均不同,zui小刚性系数在罐道绳下端 (0.4~0.5) L 之间。zui小刚性系数
 


      式中:L0 为罐道绳ji限悬垂长度,m;σB 为罐道绳的抗拉强度,N/m2;m 为罐道绳的安全系数,取 m=6;ρ 为罐道绳的密度,平均取 9 000 kg/m3。

1.3 罐道绳刚性系数的影响因素
      在容器上下 4 个约束点平面上,罐道绳的横向刚度相同;力臂越大的约束点,水平位移越大,其对容器的水平约束力越大。它会使得容器产生一个绕 x 轴的水平转矩。当容器在水平 y 轴上受外力 F 产生一个横向位移 图片时,其受力情况如图2 所示。
 

      图2 水平面内容器的受力

      图中,O 点为提升容器的质心;A1、A2、A3、A4表示罐耳在提升容器上的位置,A1、A2 表示提升容器的外侧,A3、A4 表示提升容器的内侧;wB1 和 wB2 表示罐耳在 z 轴方向到容器质心的横向水平距离;ds(Ai)表示罐耳在 y 轴方向到容器质心的横向水平距离。

      提升容器的罐耳在其中一个方向不对称布置,由于 4 根罐道绳底部张紧力相同,在容器上下 4 个约束点平面上,罐道绳的横向刚度相同,其力臂越大的约束点,水平位移越大,它对容器的水平约束力越大,使容器产生一个水平转矩。当容器在水平 y 轴上受外力 F 作用,在罐耳 A1、A2、A3、A4 处产生的横向位移依次为 wA1、wA2、wA3 和 wA4。罐耳 A1、A2、A3、A4 处的横向力依次为
 

      式中:kA1、kA2、kA3、kA4 为罐道绳在提升容器上侧罐耳处的横向刚度。同理,kB1、kB2、kB3、kB4 为罐道绳在提升容器下侧罐耳处的横向刚度。

      提升容器受到的zui大转矩
 

      在深井下,kAi 的值与 kBi 的值差别很小,
 

      在横向位移不变的情况下,提升容器的静态转矩与罐道绳横向刚度呈线性关系。当容器在水平面内达到受力平衡时,容器产生了一个扭转角 θx。Mmax越大,扭转角 θ x 越大,其扭转引起在 y 轴的位移为wBi θx。

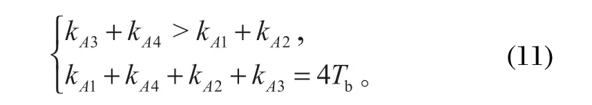
      要削弱转矩的影响,则需要调整罐道绳刚度,尽可能使 Mmax 变小。定义刚度之间的协调比值
 
 
      由于 wB1 >wB2,可得 kA2+kA3>kA1+kA4。

      根据《煤矿安全规程》第三百九十八条规定,需要满足:
 

      再根据 kA2+kA3>kA1+kA4,因此 4 根罐道绳底部的zui小刚性系数需满足 kA3>kA2>kA4>kA1。